書誌情報 
		
			
				論文名:
				Physical activity, dietary habits and sleep quality before and during COVID-19 lockdown: A longitudinal study -新型コロナウイルスによるロックダウン中の身体活動,食習慣および睡眠の質:縦断研究-
			 
			
				著者:
				Martínez-de-Quel Ó, Suárez-Iglesias D, López-Flores M, Pérez CA.
			 
			
			
			
			
			
			
		 
		対象 
		
						ヒト:
			
								対象
				一般健常者
												性別
				男女混合
												年齢
				
												対象数
				100~500
							 
			
			
						地域:
			
					 
		研究の種類・調査の方法 
		
		
				アウトカム 
		
			予防:
			
				予防 (高血圧症・心疾患・脳血管障害) 
				
										な し
									
				予防 (高脂血症・糖尿病・肥満) 
				
										な し
									
				予防 (がん) 
				
					な し
				
				予防 (転倒・骨折・介護) 
				
					な し
				
												予防
				
					新型コロナウイルスの蔓延によるライフスタイルの変化の調査
				
							 
			維持・改善:
			
				維持・改善 (体力・廃用性萎縮) 
				
										な し
									
				維持・改善 (糖質代謝・脂質代謝・タンパク質代謝・骨代謝) 
				
										な し
									
				維持・改善 (ADL・QOL) 
				
										な し
									
				維持・改善 (心理的指標) 
				
					な し
				
											 
		 
		
				図表 
		
		
		概要・結論 
		
						
				概要:
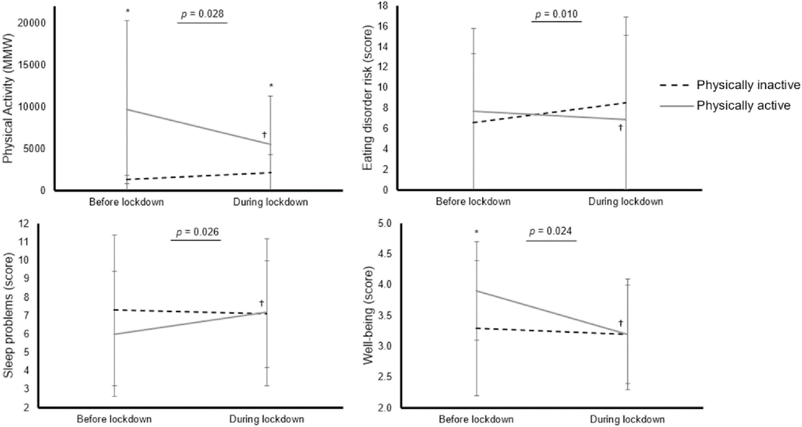
				COVID-19のパンデミックにより,保健当局は疫学的な封じ込め戦略として,強制自粛を余儀なくされた.本研究は,スペイン人を対象に,強制自粛が身体活動,摂食障害リスク,睡眠の質,幸福感に及ぼす影響に関する情報を提供することを目的とした.”Minnesota Leisure Time Physical Activity Questionnaire”,”Eating Attitude Test-26”,”Pittsburgh Sleep Quality Index”を含むオンライン調査をスペインで警戒態勢が敷かれた2日後と,そのような措置が緩和され始めた5日後に実施した.1回目のアンケートに回答した693人のうち,161人が2回目のアンケートに回答した.これらの参加者は合計48日間自宅に閉じこもって過ごし,その間,摂食障害の発症リスクを除くすべての評価項目で有意な悪化が見られた.体重67.3±14.8kg→67.7±15.1kg (p=0.012), 身体活動,8515.7±10260.0→5053.5±5502.0(MET分/週)(p<0.001), 睡眠障害,6.2±3.5→7.2±3.9(Total Score)(p<0.001),自己認識の幸福度,4(3-4)→3(3-4)(Score),(p<0.001).外出自粛生活は,元々身体活動が活発な対象者に有意な低下をもたらし,身体活動レベル,睡眠の質,幸福感が有意に低下(p<0.05)したのに対し,身体活動が活発でない対象者には有意な変化は見られなかった.この縦断的研究の結果は,COVID-19によるロックダウン期間が,身体活動の活発なスペイン人成人グループの身体活動レベル,睡眠の質,幸福度に悪影響を及ぼしたことを示している.公衆衛生当局は,普段から活動的なライフスタイルを送っている人々が,このような混乱の影響を特に受けやすい可能性があることを認識すべきと警鐘を鳴らした.
			 
												
				結論:
				COVID-19によるロックダウン期間は,スペインの成人グループの身体活動レベルと睡眠の質に悪影響を及ぼし,体重と自己認識による幸福度にも悪影響を及ぼしたことを縦断的研究により明らかにした.今回の結果から,普段から活動的な生活を送っている人は,このような混乱の影響を特に受けやすいことがわかりました.公衆衛生当局は,隔離期間中に身体活動を減らすことは,人々の健康状態に悪影響を及ぼす可能性があることを認識すべきである.
			 
									
				エキスパートによるコメント:
				新型コロナウイルス感染症予防のための自粛生活は,身体活動の低下をもたらし,睡眠の質,メンタルヘルスに悪影響を与えることが数多く報告されていますが,この研究の興味深いところは元々活動的で身体活動が高い人の方がその影響を受けやすいことを示している点です.
			 
						
		 
			 
	
		閉じる 
	
	 
	ページトップへ 
	
	
	
	
		 
		 
		
			評価選定・編集の考え方 
文献データベースに掲載されている文献は、以下の基準を参考に選定しています。 
	我が国の体力科学、スポーツ科学および健康科学分野における専門家が推薦した身体活動、運動、体力に関する重要文献を掲載しました。
	
	
		また、身体活動量・運動量の増加および体力向上による生活習慣病発症予防をアウトカムとする研究を対象にシステマティックレビューを行い、「健康づくりのための運動基準2006-身体活動・運動・体力-」(平成18年厚生労働省)策定に用いられた文献も掲載しています。
	
 
文献の領域 
文献データベースには、以下の分野の文献が掲載されています。 
病態別(予防もしくは改善) 
	
	
		呼吸器系
		
			気管支喘息 
			慢性閉塞性肺疾患(COPD) 
			その他の呼吸器疾患 
		 
	 
	
	
	
		脳・神経系
		
			認知機能 
			脳血管障害(脳内出血、脳梗塞) 
			その他の脳・神経系疾患 
		 
	 
	
	
		精神科系
		
			鬱(うつ)病 
			慢性疲労症候群(CFS) 
			その他の精神疾患 
		 
	 
	
 
一般(ヒト) 
	生活習慣病の一次予防 
	体力維持・改善 
	介護予防 
	廃用性萎縮の予防・改善 
	転倒・骨折予防 
	日常生活動作(activities of daily living: ADL)の維持・改善 
	生活の質(quality of life: QOL)の維持・改善 
	心理的指標の維持・改善 
 
一般(動物) 
	ラットを用いた研究 
	イヌを用いた研究 
	ウサギを用いた研究 
 
		 
	 
 
	
	
	
		 
		 
		
			検索手順 
 
	検索を実行するには、条件を設定して、画面の下にある「検索」をクリックします。
		何も指定しないで検索を実行すると、全件が表示されます。
	
	
	検索は、大きく分けて、
	
	で行います。
	両方の項目を指定した場合には、両方の条件を共に満たす文献が検索されます。
 
1 フリーキーワード検索 
	自由な言葉で検索を行います。検索を行うのは、以下の項目からです。
	
		論文名 
		著者名 
		雑誌名 
		概要 
		結論 
		エキスパートのコメント 
	 
	複数の用語を使用する場合、全角あるいは半角の空白で区切ってください。
	個々の用語間の関係をandで検索したい場合には、テキストボックス右の「結合」の「and」を選んでください。
	orで検索したい場合には、「or」を選んでください。
	用語を入力して検索されない場合は、類義語を入力すると検索される場合があります。
 
2 指定条件検索 
	必要な条件を個別に指定して検索します。項目間はandで検索されます。 
		ただし、「年齢」は、チェックした項目のorで検索されます。
	
		「対象」~ヒト~ “一般健常者” 
		「年齢」“13~18歳” “19~44歳” 
		「対象数」“10~50” 
	 
	→ 「対象」がヒトの “一般健常者” で、「年齢」が “13~18歳” か “19~44歳” のどちらかで、「対象数」が “10~50” の、 全ての条件を満たすデータが検索されます。
 
3 検索結果一覧 
	検索を実行すると、ページ下部に検索結果一覧が表示されます。 
		フリーキーワードの文字列は赤字になります。
	 
	検索結果には、発行年、論文名、著者、雑誌名、対象、性別、年齢、対象数が表示されます。 
		「表示件数」を変えると、一画面に出てくる文献数を調整できます。
 
4 詳細画面 
	検索結果の「詳細」をクリックすると、詳細画面が開きます。 
		フリーキーワードの文字列は赤字になります。
 
 
		 
	 
 
	
	
	
		 
		 
		
			
類義語一覧 
(原則として汎用語を入力,希望する文献が検索されない場合は類義語を入力) 
	
		汎用語 
		類義語 
	 
	
		有酸素性運動 
		
			エアロビクス 
			持久性トレーニング 
			持久性運動 
			耐久力トレーニング 
		 
	 
	
		筋力運動 
		ウエイトトレーニング レジスタンストレーニング 筋力トレーニング ウエイトリフティング  
	 
	
		バランス運動 
		バランストレーニング 平衡性トレーニング 平衡性運動  
	 
	
		柔軟性運動 
		柔軟性トレーニング ストレッチ運動 ストレッチ  
	 
	
		体力水準 
		体力レベル 身体機能水準 身体機能レベル 身体活動水準 身体活動レベル  
	 
	
		身体活動 
		身体運動 スポーツ活動 スポーツ パフォーマンス  
	 
	
		体力 
		身体活動能力 活動能力 身体能力 身体機能 身体遂行能力 フィットネス 
		 
	 
	
		トレーニング 
		訓練 鍛錬  
	 
	
		レジスタンストレーニング 
		筋力トレーニング 筋力向上運動  
	 
	
		日常生活動作 
		日常生活活動 ADL ADLs  
	 
	
		余暇活動 
		レジャー活動 レクリエーション  
	 
	
		総死亡 
		死亡者数 死亡数 死亡率 全死亡 全死亡者数 全死亡率  
	 
	
		冠動脈危険因子 
		冠動脈リスクファクター 心血管危険因子 心血管リスクファクター  
	 
	
		最大酸素摂取量 
		VO2max 最高酸素摂取量 VO2peak 有酸素能力 持久力 有酸素パワー 運動耐用能 心肺系体力 
		 
	 
	
		運動処方 
		運動療法 運動プログラム トレーニングプログラム  
	 
	
		歩行 
		ウォーキング 散歩 ウォーカー  
	 
	
		ジョギング 
		ランニング 走運動 ジョガー  
	 
	
		生活習慣 
		ライフスタイル 生活様式  
	 
	
		肥満 
		肥満症 過体重  
	 
	
		CHD 
		冠動脈疾患 心血管疾患 心疾患  
	 
	
		IHD 
		虚血性心疾患 心血管疾患 心疾患  
	 
	
		収縮期血圧 
		最高血圧 最大血圧  
	 
	
		拡張期血圧 
		最低血圧 最小血圧  
	 
	
		座業的 
		身体不活動 不活動 非活動 無活動  
	 
	
		自転車エルゴメータ 
		自転車駆動 サイクルエルゴメータ 自転車漕ぎ  
	 
	
		運動負荷テスト 
		運動負荷試験 持久性テスト 持久力テスト  
	 
	
		負荷量 
		ワークロード Watt数  
	 
	
		運動強度 
		負荷強度 強度  
	 
	
		耐糖能異常 
		インスリン感受性 インスリン抵抗性 高血糖  
	 
	
		運動量・身体活動量 
		METs・時/週 kカロリー エネルギー消費量  
	 
	
		高脂血症 
		高コレステロール血症 脂質代謝異常 低HDL血症  
	 
	
		骨粗鬆症 
		低骨密度  
	 
	
		高血圧症 
		本態性高血圧症  
	 
	
		腹部脂肪症候群 
		内臓脂肪  
	 
	
		習慣化 
		定期的 アドヒレンス 習慣性 継続性  
	 
	
		筋力 
		パワー  
	 
	
		高齢者 
		老齢者 老人  
	 
	
		中齢者 
		中年者 中年  
	 
	
		若齢者 
		若年者 若年  
	 
	
		質問紙 
		アンケート 調査票  
	 
	
		乳酸閾値 
		乳酸性作業域値 無酸素性作業閾値 換気閾値 VTATLT 
	 
	
		乳酸閾値 
		乳酸性作業域値 無酸素性作業閾値 換気閾値 VT AT LT  
	 
	
		相関関係 
		関連性 関係性  
	 
	
		除脂肪量 
		除脂肪組織 筋量 筋サイズ  
	 
	
		QoL 
		QOL 人生の質 生活の質 クオリティ・オブ・ライフ  
	 
	
		インスリン 
		インシュリン  
	 
	
		グルコース 
		ブドウ糖 糖  
	 
	
		動脈硬化 
		アテローム硬化 アテローム  
	 
	
		脳血管障害 
		脳梗塞 脳卒中  
	 
	
		メタボリックシンドローム 
		糖代謝異常 代謝異常 腹部脂肪症候群 内臓脂肪  
	 
	
		BMI 
		体格指数 Body Mass Index  
	 
	
		罹患率 
		罹病率 有病率  
	 
	
		体力テスト 
		体力測定 身体機能テスト 身体機能測定  
	 
	
		マウス 
		ラット ネズミ  
	 
	
		運動種目 
		運動様式 運動方法  
	 
	
		運動強度 
		主観的運動強度 RPE Borg Scale  
	 
	
		カテコラミン 
		アドレナリン ノルアドレナリン  
	 
	
		介入前 
		ベースライン 運動前  
	 
	
		訓練者 
		運動選手 鍛錬者 アスリート 競技者  
	 
	
		認知機能 
		脳機能  
	 
		 
	 
 
	
	
	
		 
		 
		
			検索項目 
以下の項目から検索することができます。 
	
		論文名 
		著者名 
		掲載雑誌名・巻・号・頁 
		発行年 
		対象 
		地域 
		研究の種類 
		研究の方法 
		介入の方法 
		アウトカム 
		概要;文献の概要を文献紹介者が日本語でまとめています。 
		結論;文献から導き出される結論を文献紹介者が報告しています。 
		エキスパートによるコメント;文献紹介者が文献に関するコメントを添付しています。 
		フリーキーワード